A groundbreaking study has recently uncovered promising new possibilities for reversing brain aging and enhancing cognitive functions through the use of cannabis.
A groundbreaking study has recently uncovered promising new possibilities for reversing brain aging and enhancing cognitive functions through the use of cannabis. Researchers from the University Hospital Bonn and the University of Bonn in Germany, in collaboration with the Hebrew University of Jerusalem, have found that long-term, low doses of tetrahydrocannabinol (THC)—the active ingredient in cannabis—could offer a novel approach to combating age-related cognitive decline.

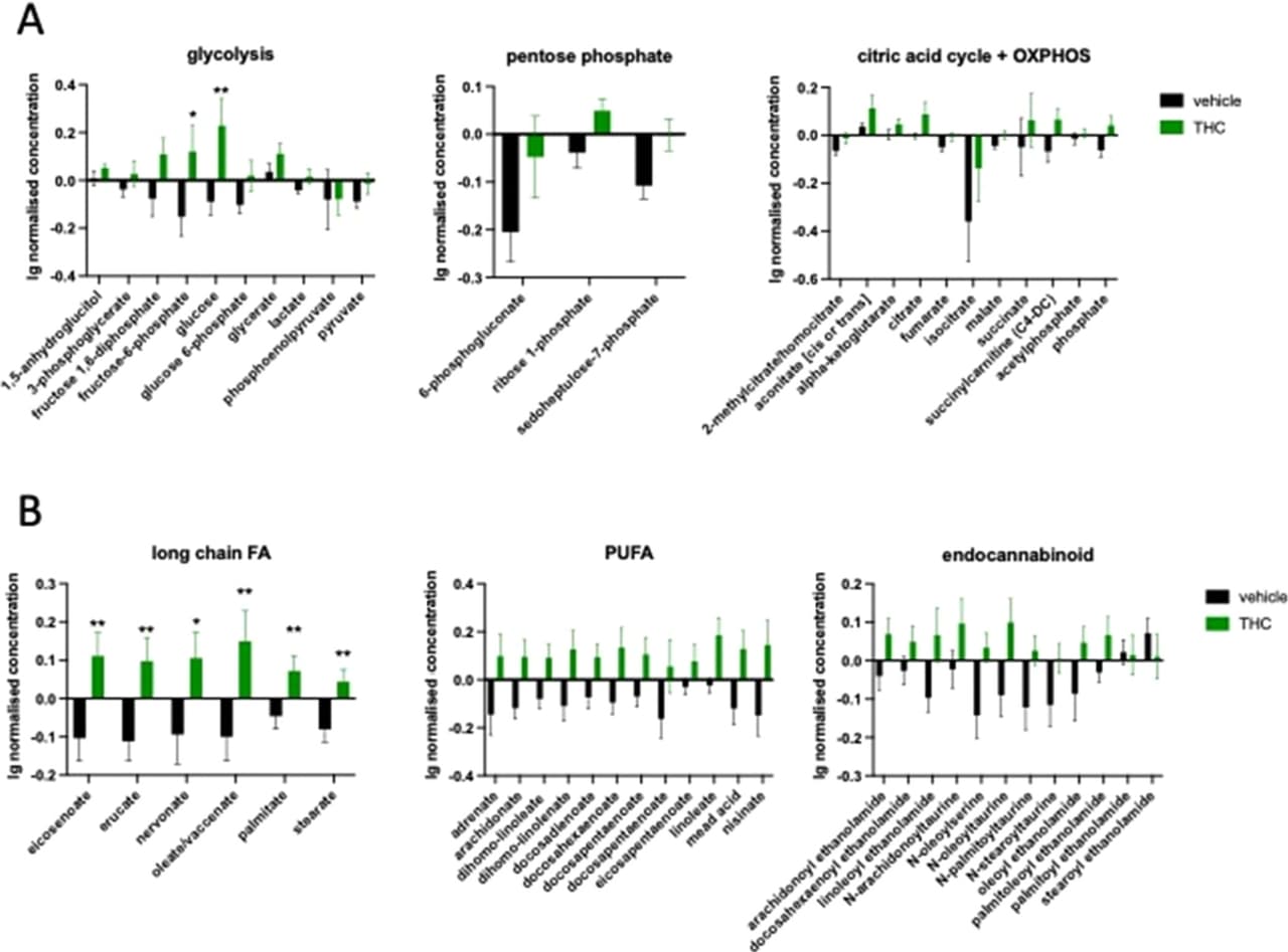
Published in the journal ACS Pharmacology & Translation Science, the study reveals that THC has the potential to reverse brain aging and improve cognitive abilities by influencing key brain processes. THC appears to restore cognitive functions and stimulate the formation of new synapses, which are crucial connections between nerve cells.

Central to these findings is the manipulation of the protein switch mTOR (Mechanistic Target of Rapamycin), a vital regulator of metabolism and cognitive performance. Professor Dr Andreas Zimmer, Director of the Institute of Molecular Psychiatry at the University Hospital Bonn (UKB), emphasized the significance of their discovery: “Anti-ageing strategies based on the reduction of mTOR activity might not only be ineffective but even counterproductive against brain ageing. In our current work, we have now found a strategy to solve this dilemma.”
Earlier research by the team had already demonstrated that THC could improve cognitive abilities in older mice. This new study delves deeper, examining the effects of THC on mTOR signaling and the metabolome—the complete set of metabolic properties within a cell. The results revealed a dual effect of THC on these systems, with intriguing implications.
In the brain, THC was found to increase mTOR activity, leading to enhanced energy production and the formation of synaptic proteins, which in turn improved cognitive function. This increase in mTOR activity within the brain contrasts sharply with the compound’s effects in other body tissues, such as adipose (fat) tissue, where THC reduced mTOR activity and metabolism. This reduction in metabolism mirrors the effects of a low-calorie diet or intense physical exercise, both known for their health benefits.








Dr Andras Bilkei-Gorzo, one of the lead researchers, noted the significance of these findings: “Our study suggests that a dual effect on mTOR activity and the metabolome could be the basis for an effective anti-aging and cognition-enhancing drug.” The dual action observed in the study could lead to the development of new therapies that not only counteract brain aging but also support overall metabolic health.
The implications of this research are substantial, potentially paving the way for new treatments aimed at mitigating age-related cognitive decline and improving quality of life for the elderly. While these findings are based on animal models, they offer a promising glimpse into how cannabis compounds might be used in future therapies for brain health.
